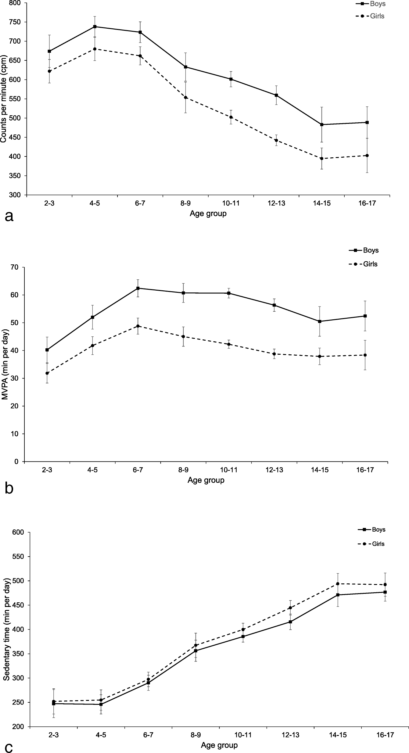
Fig. 2

a-c. Predicted physical activity level (95% CI) by age and sex for a) total physical activity (CPM); b) time spent in moderate to vigorous (MVPA) and c) time spent sedentary (SED). All estimates are adjusted for wear time (b and c), country, season, study year and ActiGraph models